Утас
+976-21-242264


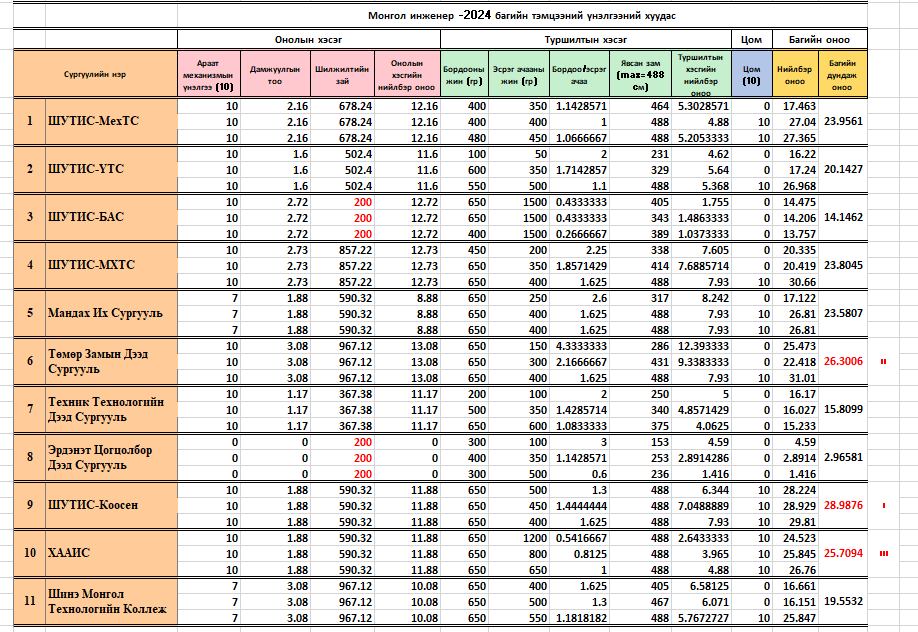
МОНГОЛ ИНЖЕНЕР-2024 нэгдсэн арга хэмжээнд ТЗДС-ийн баг амжилттай оролцож дараах амжилтуудыг үзүүллээ.
- Багийн тэнцээнд 2-р байр, мөнгөн медаль
- Онолын механик хичээлээр Д2 ангийн Ч.Мөнхцэцэг 3-р байр, хүрэл медаль
- Машины эд анги хичээлээр Т2 ангийн Ц.Эрхэмбилэг 2-р байр, мөнгөн медаль хүртлээ, амжилттай оролцсон багш, оюутнууддаа баяр хүргэе!